LaTeX について
LaTeX については、Wikipedia に以下のように記載されています。
LaTeX(ラテック、ラテフ)とは、レスリー・ランポートによって開発されたテキストベースの組版処理システムである。電子組版ソフトウェア TEX にマクロパッケージを組み込むことによって構築されており、単体の TeX に比べて、より手軽に組版を行うことができるようになっている。
実は、昨年度の実験指導書も LaTeX を利用して共同編集をしています。 LaTeX を使うメリットは以下のような点です。
- ソースファイルはテキストファイルなのでどんな環境でも編集できます
- ファイルを個別に分けて編集できるため、共同執筆が容易になります
- 非常に綺麗な数式が出力できます
- 指定されたスタイルファイルを使用すれば、同じ様式の文章が誰でも簡単に記述できます
- そのまま印刷品質のデータも作成できるため、そのまま入校することができる出版社もあります
- 学会によっては、LaTeX の方が掲載料が安い場合があります
ただし、逆に以下のようなデメリットがあります。
- 組版のために毎回コンパイルする必要があります
- ソースファイルを見てもできあがりの画面が予測しにくいです
- 命令を覚える必要があります
電気電子工学コースでは、LaTeX または Word でのレポート執筆ができるように、それぞれのスタイルファイルを配布しています。この授業では、まだ使ったことがないと思われる LaTeX の使い方を説明します。
LaTeX を使ってみる
560 室の Mac には LaTeX がインストールされており、さらに専用のエディタである「TeXShop」が利用可能 な状態で設定されています。ただ、最近は Visual Studio Code (以下 vscode と呼びます) で執筆した方が簡単です。また、個人で LaTeX を利用したい場合には、電気電子工学コースの moodle で「ICT 活用計画」を参照してください。また、インストール方法については、BYOD PC のセッティング(2021年版: 目次) - hkob’s blog を参照してください。
まず文章を書いてみましょう
昨年度までは、macOS では TeXShop、Windows では TeXworks を使って説明をしていました。授業で両方説明するのは面倒であるため、昨年度途中からは vscode を利用するようになりました。 今年度は最初から、vscode で執筆を行います。 ただし、vscode でコンパイル環境を作るところまでは、重複するので BYOD PC セッティングの記事を参照してください。
まず最初に vscode で LaTeXtest フォルダを開きます。フォルダの開き方は、それぞれの OS ごとにいくつか方法があります。好きなものを使ってください。
- vscode を立ち上げ、「開く」からフォルダを選択 (共通)
- エクスプローラで右ボタンから、「code で開く」とする方法 (Windows): Windows はこれが一番簡単です。

code で開く - ターミナルでフォルダを直接指定する方法 (macOS): タブを使った補完を使うと簡単です。
code ~/Documents/LaTeXtest/
- ターミナルでそのフォルダに移動し、カレントフォルダを開く方法 (macOS): 「cd」はカレントフォルダを変更するコマンドです。「.」はカレントフォルダを示します。
cd ~/Documents/LaTeXtest/
code .
macOS で自分でサービスを作ると Windows と同様に数クリックで vscode が開くようにできます。詳しく知りたい人は連絡してください。
すでに指示通りにテストしてもらっている人は、vscode を開くとこんな画面になります(共通なので Windows の画面を掲載しています)。一番左側にフォルダ内のファイル一覧、真ん中に開いているファイルの中身、一番右側にタイプセットした PDF ファイルが見えています。

すでに一度テストしてもらっていますが、真ん中の first.tex の中身を以下のように書き換えてみましょう。
\documentclass[12pt]{jarticle} \begin{document} \title{はじめての \LaTeX} \author{33XX 自分の名前} \date{令和3年 4月 12日 (月)} \maketitle \section{はじめに} これは初めて \LaTeX で書いた文章である。% コマンドの後ろにはスペースを空ける ソースファイル内で改行しても組版すると繋がる。 このため、行ごとに改行して記述すると行単位での入替が簡単になる。 空行を入れると段落が変わる。また、数式も書くことができる。 \begin{equation} y = v_0t − \frac{1}{2}gt^2 \end{equation} \end{document}
コピーして保存すると、自動的にコンパイル結果が右に表示されます。されない場合は、以下のキーを打ってください。右の画面がうまく表示されなかった場合には、文法が間違っている可能性があります。左側から first.log を見て、エラーの原因を確認してください。
- macOS: 「Command + Option + b」(コンパイル)、「Command + Option + v」(右側に PDF を描画)
- Windows: 「Ctrl + Alt + b」(コンパイル)、「Ctrl + Alt + v」(右側に PDF を描画)

保存後の画面
また、こんな感じで画面が狭い場合、スクロールしないと文章全体が見えません。そこで、以下のキーを打って折り返しするようにしてください。こうすると以下の画面のように文が折り返されます。
- macOS: Option + z
- Windows: Alt + z

文章の折り返し
どちらの環境でも、LaTeX のソース画面とタイプセット画面の間で、対応する部分を確認することができる。ソース画面でCommand + Option + j (macOS)、Ctrl + Alt + j (Windows) とタイプすると、PDF 画面の該当部分に赤い丸が表示されます。逆にタイプセット画面で Command + クリック (macOS)、Ctrl + クリック (Windows) とするとソース画面の該当箇所がハイライトされます。
LaTeX ソースの解説
先ほどの LaTeX ソースの説明をしておきます。
- 1 行目: documentclass で文章の型を示します。jarticle は日本語の論文を示しています。なお、実験指導書は jbook で記載しています。
- 2 行目: 文書 (document) の始まりを示します。このように LaTeX では begin-end で括られた環境が多く使われます。begin と end の入れ子が対応していないとエラーになるので注意してください。
- 4 行目: title コマンドでタイトルを設定します (この時点ではまだ描画しません)。
- 5 行目: author コマンドで筆者を設定します (この時点ではまだ描画しません)。
- 6 行目: date コマンドで日付を設定します (この時点ではまだ描画しません)。
- 7 行目: maketitle コマンドでここまでに設定したタイトル・筆者・日付を組版します。
- 9 行目: jarticle 環境では一番大きいまとまりは節になります。この section コマンドは節を設定するコマンドです。 jbook では、section よりさらに上位の章 (chapter) があります。
- 10~12 行目: 最初の段落となります。組版時にはソースファイルの改行は無視されます。そのため、文ごとに改行すると文の入れ替えなどが楽になります。また、10 行目のように必要に 応じて%を使ってコメントを入れることもできます。
- 13 行目: 空行が入るとここで段落が変わります。
- 14 行目以降: ここからが 2 段落目です。
- 15~17 行目: equation 環境で数式を記述できます。ここで「_」は下付文字を「^」は上付文字を示します。また、frac は分数を記述するための命令です。
LaTeX のコマンドは覚えるしかありません。一番左にある「TEX」というアイコンをクリックすると、STRUCTURE や SNIPPET が用意されています。うまく使ってください。

また、他人のコードを見ると参考になるので、いろいろと調べてください。 以下に示す実験実習のスタイルファイルのサンプルも参考になると思います。
実験実習スタイルファイルの使い方
電気電子工学コースでは実験実習のスタイルファイルを配布しています。最新版は電気電子工学コースオフィシャル実験実習レポートスタイルファイルプロジェクト(Bitbucket)からダウンロードできます。ダウンロードしたフォルダを書類フォルダやドキュメントディレクトリに移動しておきましょう。中に入った template.tex をコンパイルした結果はこんな感じになります。このテンプレートには学生が使いそうな様々な機能を記述してあるので、どんなコマンドがどんな結果になるかを確認してください。今回、タイプセットに latexmk というコマンドを使っているため、ユーザがタイプセット回数を気にする必要はない。ただし、TeXShop や TeXworks などの別のアプリを使う場合には、正しいタイプセット結果を得るためには、複数回タイプセットする必要があるので注意してください。

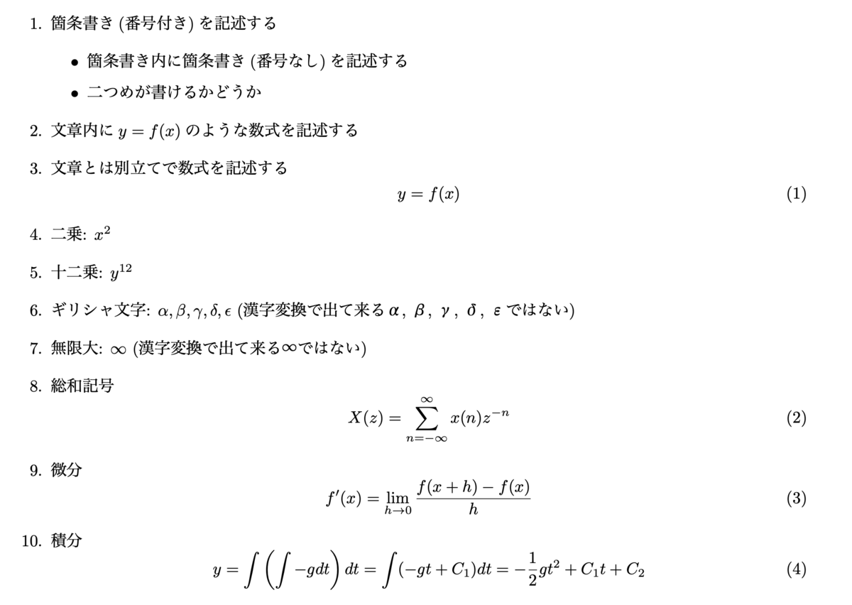
演習
最後に LaTeX 記述の演習を行います。以下のようなタイプセットができるようなソースを自分で調べて記述してください。課題の提出欄は moodle に用意してあります。評価はルーブリックで行うので、評価基準を確認してから提出してください。

